Materi Gerak Melingkar , Rumus dan Soal Dan Penyelesaian Gerak Melingkar
Gerak melingkar adalah gerak suatu objek yang bergerak mengikuti lintasan melingkar atau busur lingkaran. Ini bisa terjadi ketika objek berputar mengelilingi suatu titik tertentu (gerak rotasi) atau bergerak dengan lintasan melingkar tetapi tanpa berputar pada poros tertentu (gerak translasi). Beberapa materi yang terkait dengan gerak melingkar antara lain:
Kecepatan Sudut: Kecepatan sudut adalah laju perubahan sudut suatu objek dalam gerakan melingkar. Ini diukur dalam satuan sudut per satuan waktu seperti radian per detik atau derajat per detik.
Percepatan Sentripetal: Percepatan sentripetal adalah percepatan yang diperlukan oleh suatu objek yang bergerak melingkar agar tetap bergerak dalam lintasan melingkar. Percepatan ini selalu menuju ke pusat lingkaran dan searah dengan jari-jari.
Gaya Sentripetal: Gaya sentripetal adalah gaya yang menyebabkan suatu objek bergerak melingkar. Gaya ini selalu searah dengan jari-jari lintasan melingkar dan bertujuan untuk menarik objek menuju pusat lingkaran.
Periode dan Frekuensi: Periode adalah waktu yang diperlukan untuk satu putaran lengkap dalam gerakan melingkar. Frekuensi adalah jumlah putaran per satuan waktu. Hubungan antara periode (T) dan frekuensi (f) adalah f = 1/T atau T = 1/f.
Akselerasi Sentripetal: Akselerasi sentripetal adalah laju perubahan kecepatan suatu objek yang bergerak melingkar. Ini dihitung sebagai kuadrat kecepatan sudut (ω) dikalikan dengan jari-jari lintasan melingkar (r), atau a = ω^2r.
Gerak Melingkar Seragam: Gerak melingkar seragam adalah gerak melingkar di mana kecepatan sudut objek tetap konstan. Dalam gerak ini, percepatan sentripetal selalu ada, tetapi tidak ada percepatan tangensial.
Gerak Melingkar Berubah Beraturan: Gerak melingkar berubah beraturan adalah gerak melingkar di mana kecepatan sudut objek berubah secara konstan. Dalam gerak ini, ada percepatan tangensial yang menyebabkan perubahan kecepatan sudut.
Pola Gerak Melingkar: Pola gerak melingkar dapat bervariasi dari gerak melingkar penuh hingga gerak melingkar parsial, tergantung pada lintasan objek.
Penggunaan dalam Teknologi: Gerak melingkar diterapkan dalam banyak teknologi dan aplikasi sehari-hari, seperti dalam mesin-mesin industri, peralatan rumah tangga, dan perangkat elektronik seperti motor listrik.
Baca Juga: Materi Alat Optik Lengkap Beserta Soal Alat Optik Pilihan Ganda dan Jawaban [+Pembahasan]
SOAL DAN PENYELESAIAN GERAK MELINGKAR
Soal-1: Setiap benda bergerak melingkar beraturan akan memiliki...
A. Vektor kecepatannya konstanB. Vektor percepatannya konstan
C. Gaya radialnya konstan
D. Kecepatan angulernya konstan
E. Percepatannya nol
Penyelesaian Fisika: D
Benda bergerak melingkar beraturan akan selalu memiliki kecepatan angulernya konstan.
Soal-2: Sebuah benda bergerak pada lintasan melingkar dan melakukan 50
putaran dalam waktu 5 sekon. Benda akan melakukan 25 putaran dalam
waktu...detik.
A. 2,0
B. 10
C. 2,5
D. 15
E. 5,0
Penyelesaian Fisika: C
Soal-3: Jarum putaran mesin pada speedometer sepeda motor menunjukkan angka 1200 rpm. Hal ini berarti kecepatan sudut mesin adalah...rad/s.
A. 20
B. 40Ï€
C. 20Ï€
D. 60
E. 40
Penyelesaian Fisika: C
Soal-4: Sebutir debu berada di atas piringan yang sedang berputan dengan kecepatan sudut 8 rad/s. Debu mengalami kecepatan linier 1,6 m/s. Jarak butiran debu ke pusat putaran adalah...cm.
A. 5
B. 20
C. 10
D. 50
E. 15
Penyelesaian Fisika: B
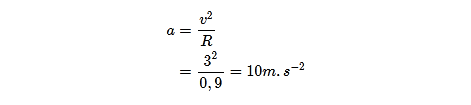
Soal-5: Sebuah benda bergerak melingkar beraturan dengan kelajuan 3 m/s, jari-jari lintasan 90 cm, maka besar percepatan sentripetal benda adalah...m/s2.
A. 3
B. 8
C. 4
D. 10
E. 6
Penyelesaian Fisika: D
Soal-6: Sebuah benda bergerak melingkar beraturan dengan kecepatan sudut ω, jari-jari lintasan R dan percepatan sentripetal a. Jika kecepatan sudut dijadikan 3ω, maka percepatan sentripetalnya menjadi...kali semula.
A. 3
B. 16
C. 4
D. 20
E. 9
Penyelesaian Fisika: E
Soal-7: Sebuah bola bermassa 50 gram diikat dengan tali yang panjangnya 1 m dan diputar horisontal sehingga bola bergerak melingkar beraturan. Jika dalam waktu 12 sekon terjadi 6 putaran, percepatan sentripetal bola adalah...m/s2.
A. 10
B. 16
C. 12
D. 20
E. 15
Penyelesaian Fisika: A
Soal-8: Jari-jari roda sepeda motor 30 cm. jika sepeda motor tersebut telah menempuh jarak 60 m, maka roda sepeda sudah berputar sebanyak...kali.
A. 10/Ï€
B. 200/Ï€
C. 20/Ï€
D. 400/Ï€
E. 100/Ï€
Penyelesaian Fisika: E
Soal-9: Perbandingan kecepatan sudut suatu jam dinding untuk jam : menit : detik adalah...
A. 1 : 6 : 12
B. 1 : 12 : 360
C. 1 : 12 : 18
D. 1 : 12 : 720
E. 1 : 12 : 3
Penyelesaian Fisika: D
Soal-10: Suatu benda melakukan gerak melingkar dari keadaan diam dengan percepatan sudut 15 rad/s2. Jari-jari lintasan 10 cm. Di saat 0,4 sekon, percepatan total benda menjadi...m/s2.
A. 1,5
B. 3,9
C. 2,1
D. 5,1
E. 3,6
Penyelesaian Fisika: B
Baca Juga: Materi Efek Fotolistrik - Pengertian, Rumus dan Contoh Soal Perhitungan Efek Fotolistrik
Penelusuran yang terkait dengan Materi Gerak Melingkar
- rumus gerak melingkar
- contoh gerak melingkar
- rumus gerak melingkar beraturan
- contoh gerak melingkar beraturan
- gerak melingkar berubah beraturan
- contoh soal gerak melingkar
- persamaan gerak melingkar
- besaran gerak melingkar

















Post a Comment