Materi Lengkap Beserta Contoh Soal Dan Penyelesaian Amperemeter, Voltmeter Dan Galvanometer
Arus Listrik ada dua macam, yakni arus listrik bolak-balik atau biasa disebut arus listrik AC (Alternating Current) dan arus listrik searah atau arus DC (Direct Current). Untuk mengukur besarnya arus listrik dibutuhkan alat yang bernama Amperemeter. Sedangkan Voltmeter adalah alat yang digunakan untuk mengukur tegangan listrik.
Kali ini kita bahas bagaimana mendesain amperemeter dan voltmeter. Komponen utama yang menyusun sebuah amperemeter dan voltmeter analog adalah galvanometer DC. Sebuah galvanometer memiliki dua karakteristik berikut.
- Karakteristik pertama adalah kuat arus yang melalui kumparan kawat yang menyebabkan simpangan (defleksi) skala penuh.
- Karakteristik kedua adalah hambatan kawat kumparan RG.
Berdasarkan karakteristik tersebut, amperemeter dan voltmeter dapat disusun dari galvanometer.
Baca Juga: Materi Gaya Coulomb Beserta Contoh Soal Dan Penyelesaian Gaya Coulomb Secara Lengkap
Mendesain Amperemeter dari Galvanometer
Amperemeter disusun dari sebuah galvanometer dan satu atau lebih resistoryang disebut resistor shunt. Agar amperemeter dapat digunakan untuk mengukur kuat arus yang besar, sebuah resistor shunt (Rsh) dipasang paralel dengan galvanometer. Dengan demikian, sebuah amperemeter disusun oleh sebuah galvanometer dan resistor shunt seperti dibawah ini.
Jumlah perbandingan:
Dengan
Rsh = hambatan resistot shunt
RG = hambatan kawat kumparan galvanometer
n = pembesaran amperemeter
Hambatan kawat kumparan galvanometer yang disusun paralel dengan hambatan resistor shunt dapat digantikan oleh sebuah hambatan pengganti (RA). Besar hambatan pengganti tersebut sebagai berikut.
Dengan RA : hambatan dalam amperemeter
Ketika digunakan untuk mengukur kuat arus yang mengalir pada suatu rangkaian, amperemeter harus dirangkai seri terhadap rangkaian. Perhatikan gambardi samping. Sebuah amperemeter digunakan untuk mengukur besar arus yang melalui sebuah rangkaian yang memiliki hambatan R. Besar hambatan totalnya sebagai berikut.
Rtotal = RA + R
Dengan Rtotal : hambatan total rangkaian
Mendesain Voltmeter dari Galvanometer
Sebuah voltmeter disusun oleh sebuah galvanometer dan sebuah resistor seri. Agar voltmeter dapat digunakan untuk mengukur tegangan yang besar, sebuah resistor seri (Rs) dipasang seri dengan galvanometer.
Vs : VG = Rs : RG
Jumlah perbandingan = Rs + RG
Jumlah tegangan Vs + VG = V
Jadi, Rs : (n-1) RG
Dengan
Rs : hambatan resistor seri
RG : hambatan galvanometer
n : perbesaran voltmeter
Hambatan kawat kumparan galvanometer yang disusun seri dengan hambatan seri dapat digantikan oleh sebuah hambatan pengganti (RJ. Hambatan pengganti tersebut disebut hambatan dalam voltmeter yang besarnya sebagai berikut.
Rv = Rs + RG
Dengan Rv = hambatan dalam voltmeter
Untuk mengukur tegangan pada suatu rangkaian, voltmeter harus dirangkai paralel terhadap rangkaian, Dengan demikian, hambatan total rangkaian sebagai berikut.
Voltmeter
Voltmeter adalah alat untuk mengukur tegangan listrik. Alat ini sering digunakan oleh teknisi elektronik yang biasanya menjadi satu dalam multi tester atau Avometer.
Avometer adalah singkatan dari Amperemeter, Voltmeter dan Ohmmeter.
Prinsip Kerja Voltmeter
Prinsip Kerja Voltmeter hampir sama dengan Amperemeter karena desainnya juga terdiri dari galvanometer dan hambatan seri atau multiplier.Galvanometer menggunakan prinsip hukum Lorentz, dimana interaksi antara medan magnet dan kuat arus akan menimbulkan gaya magnetic. Gaya magnetik inilah yang menggerakan jarum penunjuk sehingga menyimpang saat dilewati oleh arus yang melewati kumparan. Makin besar kuat arus akan makin besar penyimpangannya
Desain penyusunan galvanometer dengan hambatan multiplier menjadi voltmeter dapat dilihat pada gambar berikut.
Fungsi dari multiplier adalah menahan arus agar tegangan yang terjadi pada galvanometer tidak melebihi kapasitas maksimumnya, sehingga sebagian tegangan akan berkumpul pada multiplier. Dengan demikian kemampuan mengukurnya menjadi lebih besar.Jika kemampuannya ingin ditingkatkan menjadi n kali maka dapat ditentukan berapa besar hambatan multiplier yang diperlukan.
V = tegangan yang akan diukur
VG = Tegangan maksimum galvanometer
RG = Hambatan galvanometer
Rm = Hambatan multiplier
SOAL DAN PENYELESAIAN AMPEREMETER, VOLTMETER DAN GALVANOMETER
Soal 1 : Galvanometer memiliki hambatan 100 ohm memberikan simpangan pada skala penuh dengan arus 5 mA. Untuk merancang voltmmeter, komponen tersebut dihubungkan dengan baterai 2 V. Berapa besar hambatan shunt yang harus diberikan ?
Soal 2. Perhatikan penunjukan jarum ampere meter pada gambar berikut.
Kuat arus yang terukur adalah ...
Penyelesaian Fisika: Batas ukur amperemeter 5 A.
Arus terukur - lihat gambar:
Soal 3 : Sebuah galvanometer dengan hambatan
30 Ohm akan mengalami simpangan maksimum jika tegangannya 60 volt. Agar
dapat digunakan untuk mengukur tegangan hingga 480 volt, tentukanlah
besar hambatan depan yang harus dipasang secara seri!
Penyelesaian Fisika:
Soal 4: Galvanometer memiliki hambatan 160
ohm dengan arus 2 mA agar menghasilkan simpangan dengan skala penuh.
Berapa tahanan shunt yang harus dipakai agar menghasilkan amperemeter
yang memberikan simpangan skala penuh dengan arus 2,2 A?.
Penyelesaian Fisika:
Soal 5 : Galvanometer memiliki hambatan 120
ohm untuk arus 1 mA, sehingga memberikan simpangan skala penuh. Berapa
besar hambatan yang perlu dipasang untuk merancang sebuah voltmeter yang
dapat memberikan simpangan skala penuh pada beda potensial 3 volt ?
Penyelesaian Fisika:
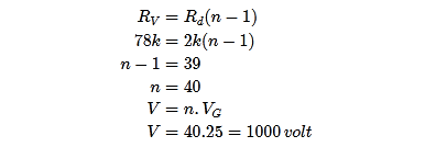
Soal 6 : Suatu voltmeter mempunyai daya
batas ukur/ daya ukur maksimum 25 V dan hambatan dalam 2kΩ. Untuk
mempertinggi daya ukurnya dipasang tahanan depan 78 kΩ. Berapa daya ukur
maksimum sekarang ?
Penyelesaian Fisika:
Soal 7 : Sebuah Galvanometer yang
hambatannya 60 Ohm akan mengalami simpangan maksimum jika dilalui arus
1,0 A. Agar dapat digunakan untuk mengukur tegangan hingga 420 volt,
maka harus ditambahkan resistor secara seri. Berapa hambatan resistor
tambahan tersebut?
Penyelesaian Fisika:
Soal 8 : Sebuah Galvanometer yang memiliki hambatan dalam 10 ohm dan tegangan maksimum 10 mV akan dipakai untuk mengukur tegangan hingga tegangan maksimumnya bisa 20 V. Berapa besar hambatan multiplier yang diperlukan ?
Penyelesaian:
n = 10 : 0,01 = 1000
Rm = ( n – 1) . RG
= 999. 10
= 9990 ohm
Soal 9 : Sebuah galvanometer memiliki arus skala penuh 0,100 mA dan hambatan kumparan RC
= 50,0 Ω. Galvanometer ini digunakan bersamaan dengan sebuah resistor
shunt untuk mendesain sebuah amperemeter yang memiliki simpangan skala
penuh untuk kuat arus 50,0 mA. Hambatan resistor tersebut adalah . . . .
A. 0,0001 Ω
B. 0,0002 Ω
C. 0,1002 Ω
D. 0,1010 Ω
E. 0,2010 Ω
Jawab:
n = I/IG = 50,0 mA/0,100 mA = 500
Rsh (hambatan shunt) = 50,0 Ω/(500 – 1) = 0,1002 Ω
Soal 10 : Sebuah galvanometer memiliki arus skala penuh 0,100 mA dan hambatan kumparan RC = 50,0 Ω. Tentukan hambatan RS
yang harus dipasang seri dengan kumparan galvanometer untuk
menghasilkan sebuah voltmeter yang memiliki tegangan skala penuh 500 mV.
A. 4950 Ω
B. 4800 Ω
C. 3900 Ω
D. 3890 Ω
E. 2257 Ω
Jawab:
mula-mula tegangan skala penuh galvanometer dihitung dengan hukum Ohm.
VG = IGRG
VG = (0,100 mA)(50,0 Ω) = 5,00 mV
Selanjutnya n dihitung dengan
n = V/VG = 500 mV/5,00 mV = 100
akhirnya, hambatan RS diperoleh dengan
RS = (n – 1)Rc
RS = (100 – 1) x 50,0Ω = 4950 Ω
Soal 11 : Sebuah basicmeter
memiliki skala dari 0 sampai 50 dan kuat arus maksimum yang ditunjukkan
oleh rentang skala pada shunt adalah 10 mA. Kuat arus yang terukur jika
jarum penunjuk pada skala 40 adalah . . . .
A. (4,0 ± 0,2) mA
B. (4,0 ± 0,1) mA
C. (8,0 ± 0,1) mA
D. (8,0 ± 0,2) mA
E. (5,0 ± 0,2) mA
Jawab:
I = (40/50) x 10 mA = 8,0 mA
50 skala = 10 mA sehingga
1 skala = (1/50) x 10 mA = 0,2 mA
Ketidakpastian ΔI = ½ x skala terkecil
ΔI = ½(0,2 mA) = 0,1 mA
Hasil ukur kuat arus adalah I ± ΔI = (8,0 ± 0,1) mA
Penelusuran yang terkait dengan AMPEREMETER, VOLTMETER DAN GALVANOMETER
- jelaskan bagaimana sebuah galvanometer dapat digunakan untuk membuat sebuah amperemeter
- hambatan dalam amperemeter
- voltmeter dan amperemeter
- contoh soal amperemeter dc
- galvanometer rumus
- contoh soal galvanometer dan pembahasannya
- perbedaan galvanometer dan voltmeter
- galvanometer pdf


















Post a Comment